党参黄芪当归有什么功效与作用
黄芪当归党参一起泡水喝的功效与作用如下补中益气黄芪与党参均能增强脾胃功能,促进气血生化,改善气虚导致的乏力食欲不振等症状二者协同作用可提升机体免疫力,增强对疾病的抵抗力补血养血当归富含铁维生素B12等成分,能促进血红...
苹果实体店分期付款需要什么条件(iPhone分期付款必须要信用卡吗有哪些渠道可以进行分期购买)
随着超前消费的风靡,分期付款已经成为当代大部分年轻人的支付首选,通过这种方式,我们可以适当地将现阶段的经济压力进行适当分摊和转移,就比如使用分期付款购买iPhone手机,既能提前满足我们的使用需求,又能解一时燃眉之急...
带wen的四字成语移动端(成语日常学习9)
蛛丝马迹zhu si ma ji:从挂下来的蜘蛛丝可以找到蜘蛛的所在,从马蹄的印子可以查出马的去向。比喻事情所留下的隐约可寻的痕迹和线索。唐.杨筠松《龙经.武曲星》:“拋梭马迹;蛛丝长;梭中自有丝不断。”指鹿为马zh...
胜地刹车盘是哪个国家的(奔世达汽配完成PreA轮3000万融资)
10月30日,资本邦讯,四川奔世达云联汽配有限公司(以下简称“奔世达汽配连锁”)已于近日完成3000万元Pre-A轮融资,由鳌图创新资本领投。奔世达汽配是一个汽车售后服务连锁品牌,集产品分销、零售、售后服务为主的直营...
魔兽世界捍卫我们的事业任务如何做
1、首要步骤你需要首先回到你的职业大厅无论你当前身处何处,都要设法返回这可以通过传送门飞行点或者其他任何可用的交通方式来完成定位职业侦察地图关键位置在职业大厅内,找到职业侦察地图这通常是一个明显的NPC或者交互界面,...
单板滑雪入门技巧有哪些
单板滑雪和双板滑雪在技巧上存在显著差异,主要体现在以下几个方面1 基础站姿与平衡控制单板滑雪双脚固定在一块板上,侧向滑行初学者需适应横向站姿左脚或右脚在前,平衡依赖于核心力量和对板刃的控制摔倒频率较高,需掌握推坡落叶...
dnf守护者祭坛怎么加点
今天,NBA总决赛第一场,你是在电子产品端紧张呐喊,还是身临球场感受着浓烈的总决赛现场氛围,又或是你作为球队里的从业者,台前幕后……很多人找到WEsport咨询体育相关专业留学,咨询师被问及最多的不是留学的费用、留学...
excel表格计算公式设置(Excel隐形杀手锏让写在单元格里的文字公式自动计算结果)
你是否也曾对着一张Excel表格叹气?左边是清晰的设备名称和尺寸,中间是工整的计算公式,而右边——却是空空如也的“有效面积”列,等着你一个个手动计算、填写。...
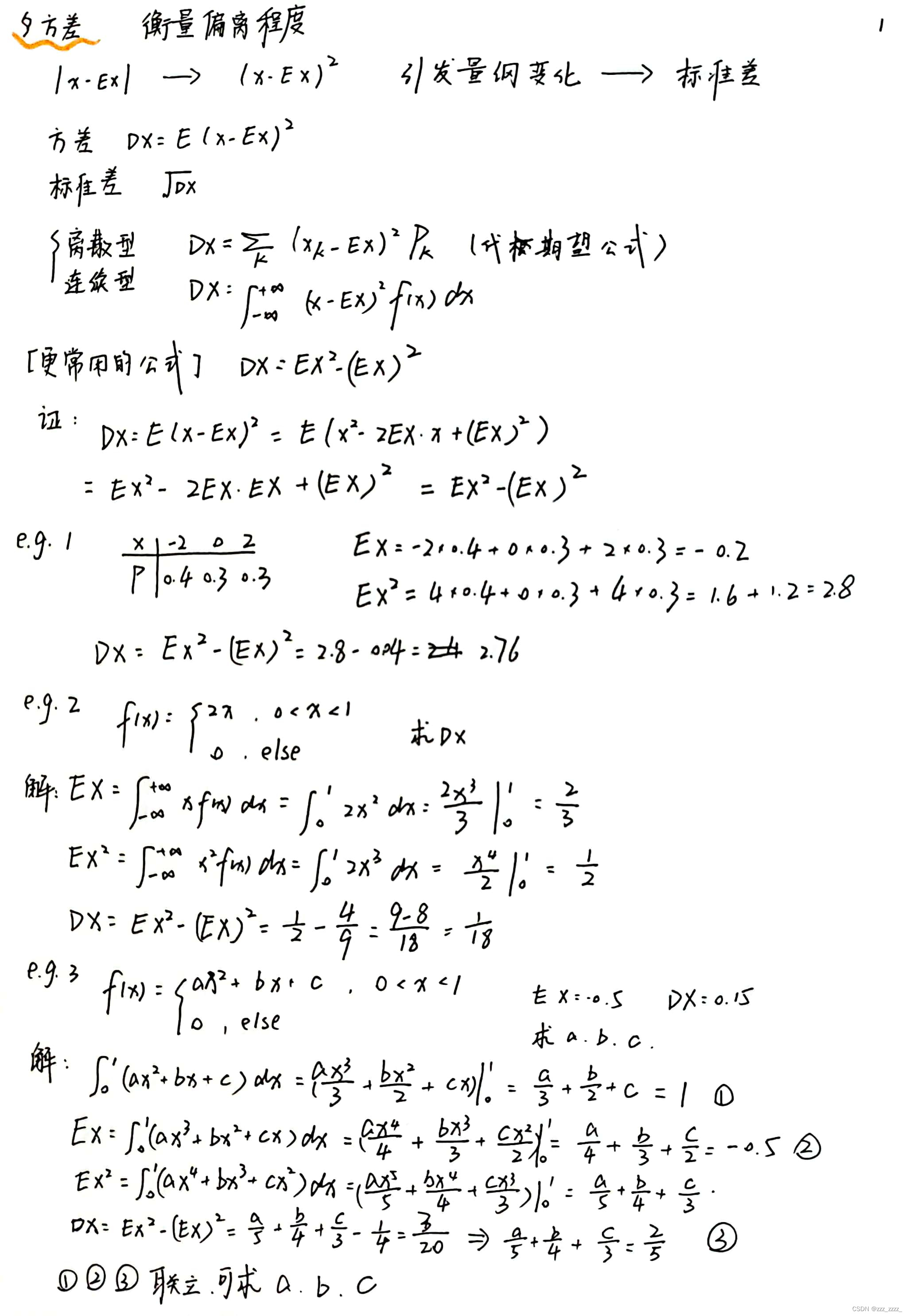
方差怎么算,方差算法简述
1、方差的计算公式为方差 = 各个数据与其算术平均值的离差平方和的平均数这里的“离差”指的是每个数据点与平均值的差,“离差平方和”则是所有离差的平方之和,“平均数”则是指将离差平方和除以数据的个数三方差计算步骤 计算...





京公网安备11000000000001号
京ICP备11000001号